2024贵州新高考等级赋分原则是什么-best365官网下载最新版本
2024年贵州选择性考试再选科目每科原始分满分为100分。转换分以30分作为赋分起点,满分100分。先将每科考生的原始分从高到低划分到a、b、c、d、e共5个等级,依照等比例转换原则进行转换。下面小编为大家带来2024贵州新高考等级赋分原则,希望对您有所帮助!
2024贵州新高考等级赋分原则是什么
贵州省选择性考试再选科目每科原始分满分为100分。转换分以30分作为赋分起点,满分100分。先将每科考生的原始分从高到低划分到a、b、c、d、e共5个等级,各等级人数所占比例分别约为15%、35%、35%、13%和2%。再将a至e等级内的考生原始分,依照等比例转换原则,分别转换到100~86分、85~71分、70~56分、55~41分和40~30五个分数区间,得到考生的等级转换分。
高考成绩公布时,考生查询到的再选科目成绩是等级赋分后的成绩,不需要考生自行转换。
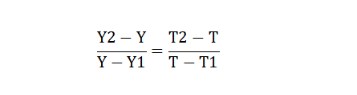
线性转换公式:

其中,y表示原始成绩(y1、y2分别表示原始分区间的下限和上限);t表示转换后等级成绩(t1、t2分别表示转换分区间的下限和上限)。计算结果通过“四舍五入”取整数。
贵州省新高考与老高考有哪些不同
一是选科组合不同。2024贵州新高考改变了以往文理分科的学科布局,在“3 1 2”科目组合下,考生可以根据自身的兴趣、爱好和专业特长,自主在12种科目组合中选择高考科目,不仅扩大了考生的自主选择权,也使选科更为优化和合理。首选科目为物理的,也可以选择思想政治和地理;首选科目为历史的,也可以选择化学和生物学。
二是考试科目不同。相较于老高考,2024贵州新高考数学科目不再分文理,原来的文理综合调整为首选科目 再选科目。
三是成绩组成不同。2024贵州新高考考生的文化成绩由语文、数学、外语3门全国统考科目成绩和3门选择性考试科目成绩组成。其中,选择性考试科目中的首选科目成绩以原始分呈现,再选科目成绩以等级赋分方式呈现。
四是志愿填报方式不同。老高考以“院校”为基本单位填报志愿,2024贵州新高考则是以“专业(类) 院校”为单位填报志愿。
五是录取规则不同。2024贵州新高考模式下,普通类按照物理、历史两个学科组,分列招生计划、分别划线、单独投档录取。普通本科合并为一个录取批次,不再区分一本和二本,实行平行志愿投档。
贵州2024年高考用什么卷
2024年贵州高考预计可能会用新高考ii卷,采取的是“3 1 2”模式,语文、数学、英语由国家教育部考试中心统一命题,其他各科目试卷由本省自行命题。
2024年贵州高考满分为750分。高考总分由统一高考的语文、数学、外语科目成绩和学业水平考试3门选择性考试科目成绩组成。语文、数学、外语3门科目以每门150分计入总分,选择性考试科目每门均为100分。物理、历史科目以原始分计入总分;其余科目以等级分计入总分。
2024贵州考生如何备战高考
1. 制定合理的学习计划:根据贵州高考的时间安排,制定详细的学习计划,合理分配每天的学习时间,确保每个科目都能得到充分的复习。
2. 抓住重点难点:贵州高考生要针对每个科目的重点和难点,制定专门的复习计划,加强练习和巩固,提高解题能力。
3. 合理安排休息与锻炼:高考备考期间,保持良好的作息习惯,保证充足的睡眠和适当的锻炼,以保持良好的身体状态和精神状态。
4. 模拟考试与反思:贵州考生要定期进行模拟考试,通过模拟考试检验自己的备考效果,及时发现问题并进行反思,调整备考策略。
贵州2024高考总分及各科目分值分布
2024贵州高考总分数为750分。
2024年贵州省新高考实行“3 1 2”模式,增加了学生的学科的自主选择性,更好的发挥特长。其中“3”即统一高考科目:为语文、数学、外语3门,都是必考的科目;“1”和“2”为选择性考试科目,其中“1”指从物理或历史科目中选择1门首选科目,“2”指从思想政治、地理、化学、生物学中选择2门再选科目,有多种搭配方式,要根据考生自身情况选择。
考生的高校招生录取总成绩由3门统一高考科目成绩和自主选择的3门普通高中学业水平等级考试科目成绩组成,总分为750分。等级考试科目包括思想政治、历史、地理、物理、化学、生物6个科目。条件成熟时,可纳入技术(信息技术、通用技术)等科目。
其中,统一高考科目语文、数学、外语的卷面满分分值均为150分,总分450分;考生自主选择的3门普通高中学业水平等级考试科目每科卷面满分分值均为100分,转换为等级分按满分100分计入,等级考试科目总分300分。